Home/ Apps/ Information Reading/ Calculus Reference

Calculus Reference 1bbf9c99 MOD APK for Android

Calculus Reference
Version 1bbf9c99
Updated on November 15, 2025
Category Information Reading
Size 1.09MB
8
1
2
3
4
5

8

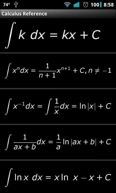
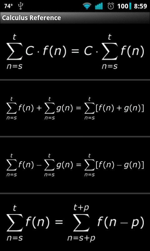
An easy to use reference guide of common Calculus equations and formulae.

Need to brush up on your calculus or review for a test? This is the app for you! Use this great calculus study guide to ace your next exam.

** Consider purchasing the donate version to support the developer!

Includes material covered in:

Calculus 1 / Calculus AB

Calculus 2 / Calculus BC

Topics covered:

Limits

Derivatives

Integrals

Series

What's New in the Latest Version 1bbf9c99

Last updated on Jan 30, 2019 Update for Android 9 (Pie)