Inicio/ solicitud/ Aprendizaje educativo/ Cribs on the geometry RUS

Cribs on the geometry RUS 2.0 MOD APK for Android

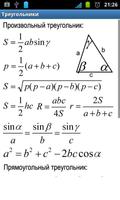
Cribs on the geometry RUS
Versión 2.0
Fecha de actualización May 26, 2025
Categoría Aprendizaje educativo
Tamaño 7.66MB
8.8
1
2
3
4
5

8.8

Disfrute de millones de las últimas aplicaciones de Android, juegos, música, películas, TV, libros, revistas y más. En cualquier momento, en cualquier lugar, a través de sus dispositivos.

Cunas en la geometría, habitual a los ojos rusos en tu teléfono. :D