Inicio/ solicitud/ Aprendizaje educativo/ Derivative Integral Formula

Derivative Integral Formula 1.9 MOD APK for Android

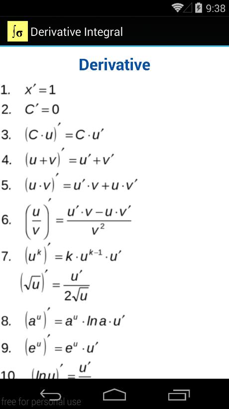
Derivative Integral Formula
Versión 1.9
Fecha de actualización August 19, 2025
Categoría Aprendizaje educativo
Tamaño 936.59KB
7.2
1
2
3
4
5

7.2

Fórmulas de integral y derivada

Es una aplicación gratuita que le ayuda a referir las fórmulas integrales y derivadas de las matemáticas.

¡Descárgalo!

¿Qué hay de nuevo en la última versión 1.9?

Última actualización la calculadora derivada del 6 de septiembre de 2015
Calculadora integral